• Предмет: Математика
  • Автор: elloevans
  • Вопрос задан 2 года назад

ДАЮ 100БАЛЛОВ БЫСТРЕЕ ПРОШУ

Приложения:

Ответы

Ответ дал: axatar
1

Ответ:

1

Пошаговое объяснение:

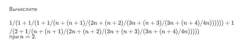
1/(1+1/(1+1/(2+(2+1)/(2∙2+(2+2)/(3∙2+(2+3)/(3∙2+(2+4)/4∙2))))))+1/(2+1/(2+(2+1)/(2∙2+(2+2)/(3∙2+(2+3)/(3∙2+(2+4)/4∙2)))))=

=1/(1+1/(1+1/(2+3/(4+4/(6+5/(6+6/8))))))+1/(2+1/(2+3/(4+4/(6+5/(6+6/8)))))=

=1/(1+1/(1+1/(2+3/(4+4/(6+5/(6+3/4))))))+1/(2+1/(2+3/(4+4/(6+5/(6+3/4)))))=

=1/(1+1/(1+1/(2+3/(4+4/(6+5/(27/4))))))+1/(2+1/(2+3/(4+4/(6+5/(27/4)))))=

=1/(1+1/(1+1/(2+3/(4+4/(6+20/27)))))+1/(2+1/(2+3/(4+4/(6+20/27))))=

=1/(1+1/(1+1/(2+3/(4+4/(182/27)))))+1/(2+1/(2+3/(4+4/(182/27))))=

=1/(1+1/(1+1/(2+3/(4+108/182))))+1/(2+1/(2+3/(4+108/182)))=

=1/(1+1/(1+1/(2+3/(4+54/91))))+1/(2+1/(2+3/(4+54/91)))=

=1/(1+1/(1+1/(2+3/418)))+1/(2+1/(2+3/418))=

=1/(1+1/(1+1/839))+1/(2+1/839)=

=1/(1+1/(840/839))+1/(1679/839)=

=1/(1679/840)+839/1679=840/1679+839/1679=1679/1679=1

Вас заинтересует