• Предмет: Математика
  • Автор: gastat
  • Вопрос задан 2 года назад

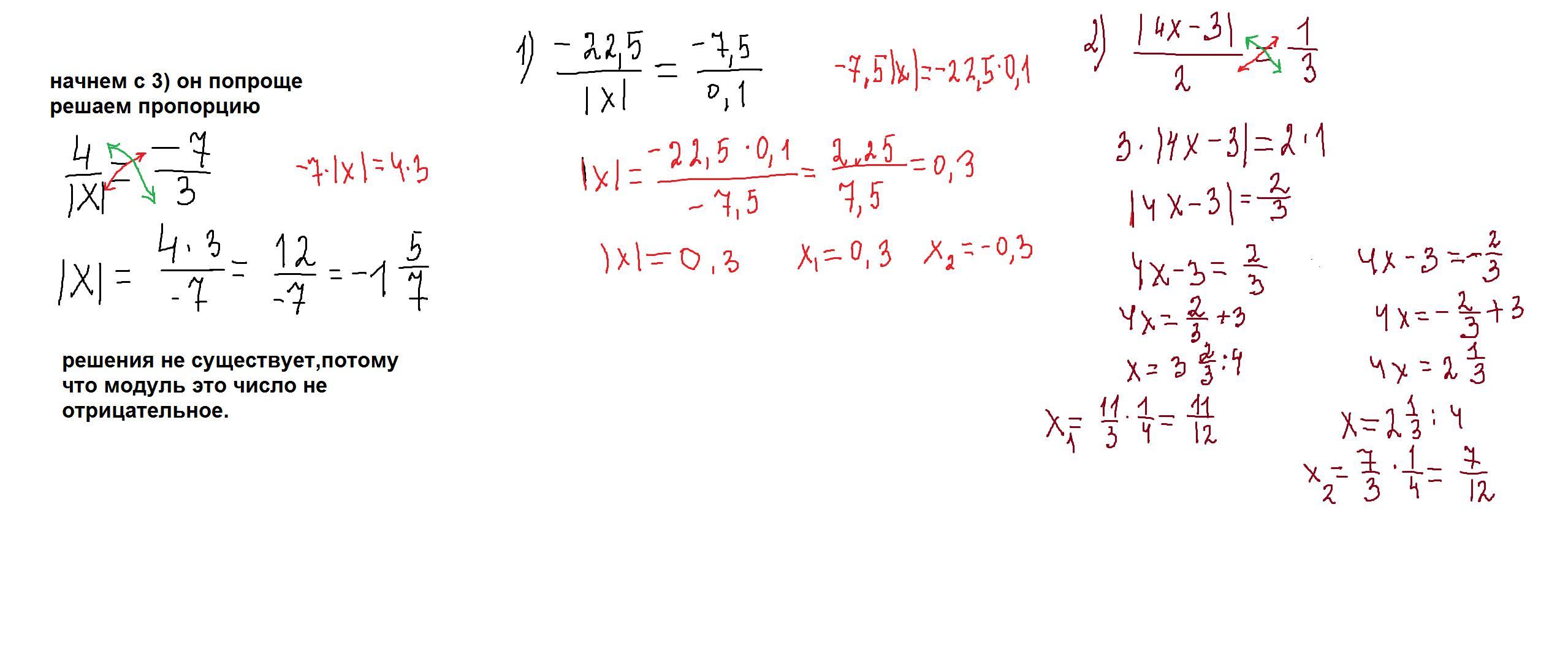
объясните пожалуйста как решать ​

Приложения:

Ответы

Ответ дал: parus77
1

Ответ:

Пошаговое объяснение:

решение посмотри внизу,где будет непонятно-спрашивай.

Приложения:
Вас заинтересует