сколько см в длину имеет стороны прямоугольника , если возможное наибольшое значение площади 64 см ?
Ответы
Ответ дал:
1
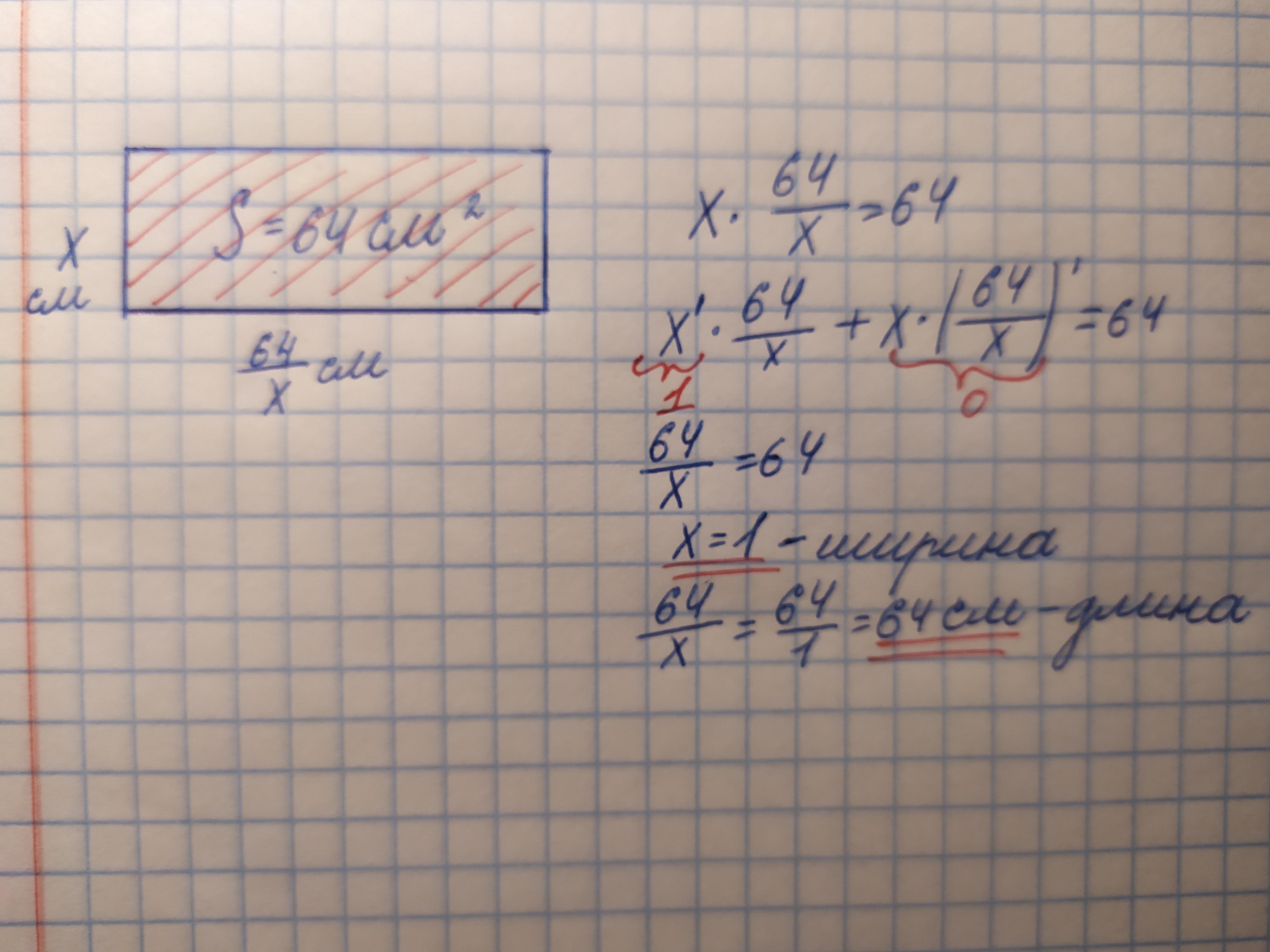
Это минимаксная задача, нужно использовать приложение производной:
Приложения:

Вас заинтересует
1 год назад
1 год назад
1 год назад
1 год назад
3 года назад
3 года назад