• Предмет: Математика
  • Автор: zolka003
  • Вопрос задан 2 года назад

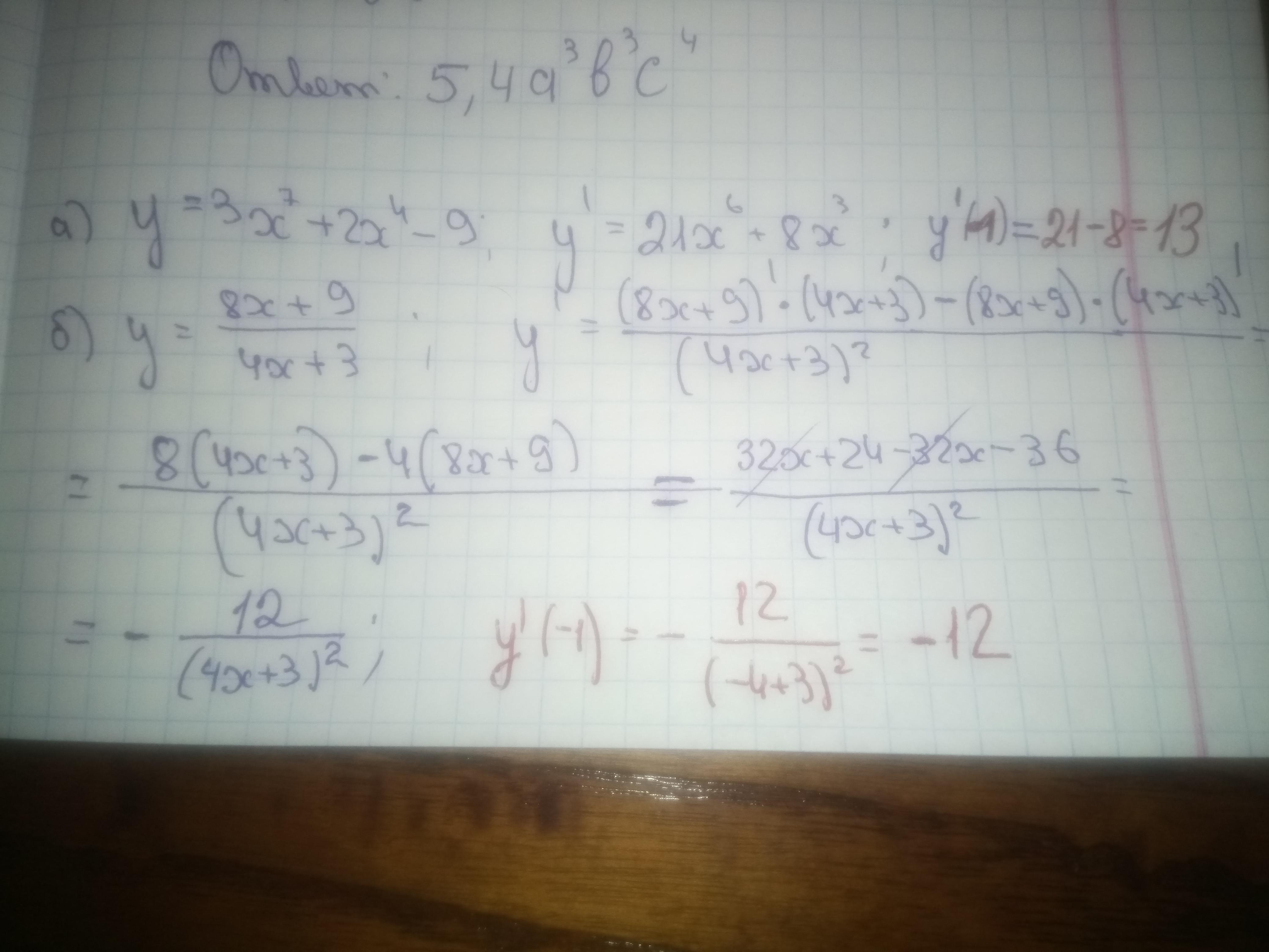
Вычислите производные функций в точке Хо.
Помогите, пожалуйста, подробно!
Не с фотомэс!

Приложения:

zolka003: Хо = -1

Ответы

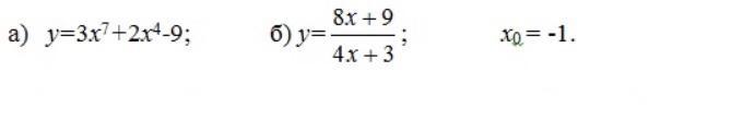
Ответ дал: Аноним
1

Решение задания приложено

Приложения:

Аноним: Там где слово "ответ" вверху не относится к заданию. Смотреть ниже.
zolka003: Поняла, спасибо.
А это при Хо = -1 ?
Аноним: Да, красным цветом.
zolka003: Спасибо!!!
Вас заинтересует