• Предмет: Алгебра
  • Автор: Xizudzi
  • Вопрос задан 2 года назад

Как это решается?
-----------------------------​

Приложения:

Ответы

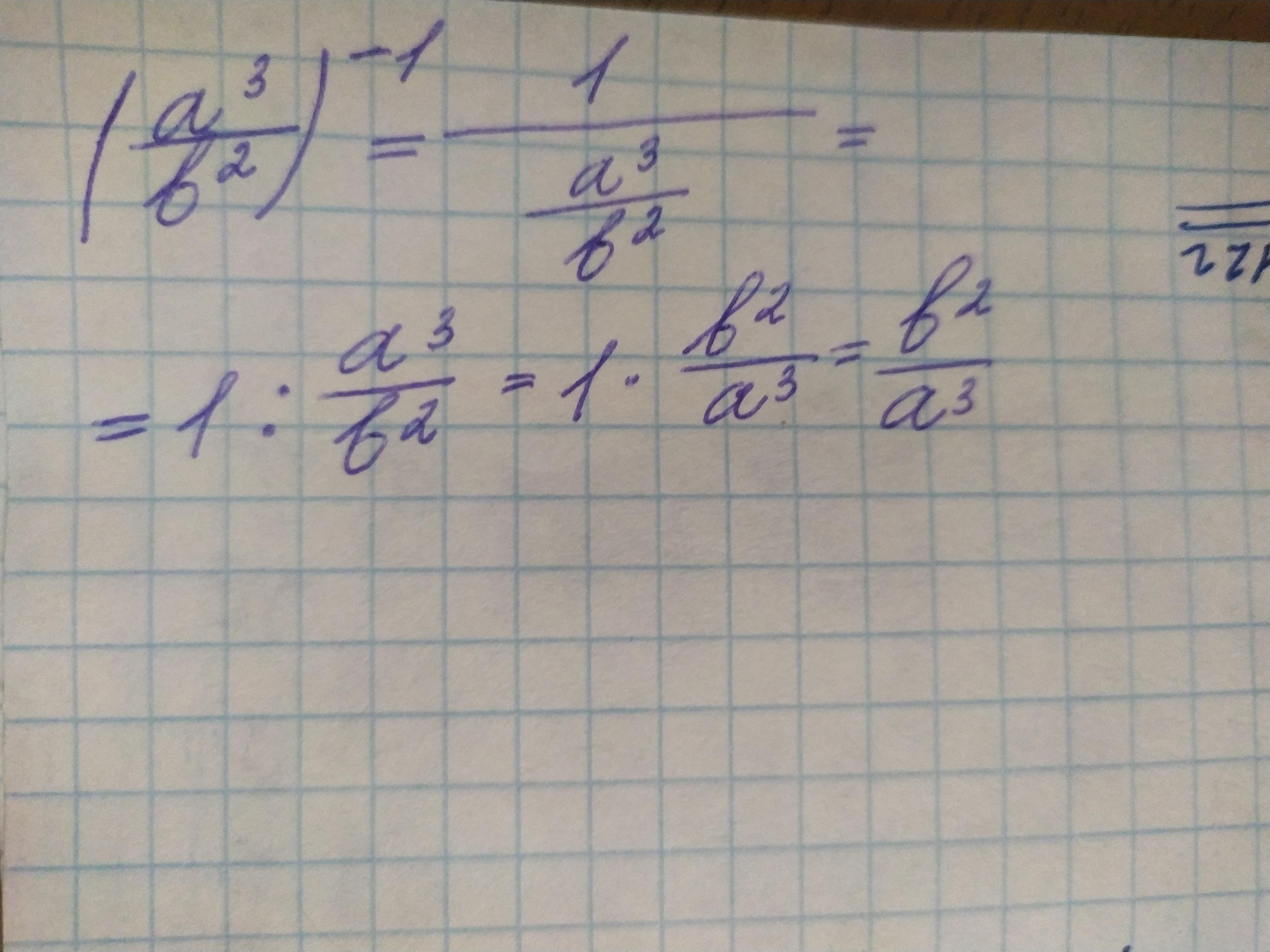
Ответ дал: holmskaja
1

Во вложении:

_________________

Приложения:

Аноним: Можете помочь мне, с Русским языком пожалуйста?
Xizudzi: спасибо
Ответ дал: Rahmann
2

При возведении выражения в -1 степень, получаем обратное ему выражение:

( \frac{a^{3} }{b^{2} })^{ - 1}  =  \frac{ {b}^{2} }{ {a}^{3} }


Xizudzi: спасибо
Rahmann: Пожалуйста) Обращайтесь)
Вас заинтересует