• Предмет: Математика
  • Автор: kurokim9119
  • Вопрос задан 2 года назад

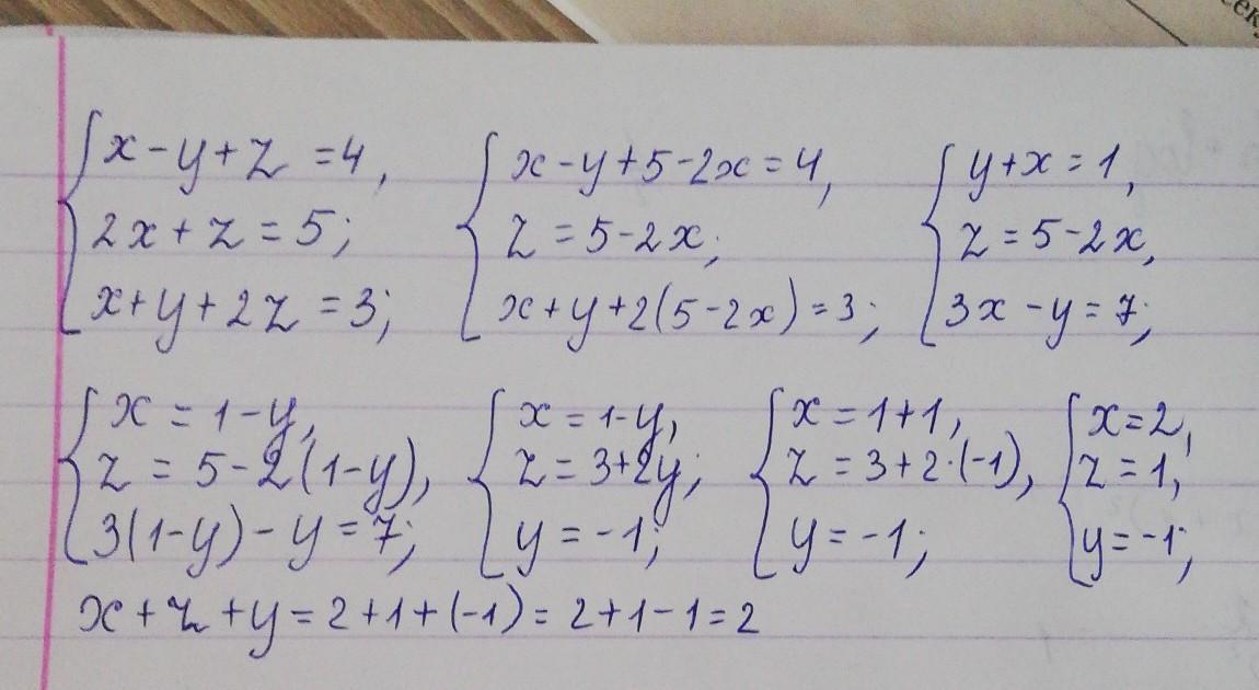
Найдите сумму x+y+z, если (x,y,z) - решения системы уравнений
x-y+z=4
2x+z=5
x+y+2z=3

Ответы

Ответ дал: 6757493
2

..........................

Приложения:
Вас заинтересует