• Предмет: Математика
  • Автор: slana16
  • Вопрос задан 2 года назад

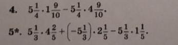
Нужно вычислить,применяя распределительный закон​

Приложения:

Ответы

Ответ дал: tatsach
1

Ответ:

Пошаговое объяснение:

Приложения:
Вас заинтересует