Ответы
Ответ дал:
1
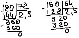
Ответ:
да
Пошаговое объяснение:
2,5=2,5
Приложения:

Вас заинтересует
1 год назад
1 год назад
1 год назад
1 год назад
3 года назад