• Предмет: Математика
  • Автор: ЭмилиСтоун11
  • Вопрос задан 2 года назад

Помогите решить пожалуйста

Приложения:

Ответы

Ответ дал: nikebod313
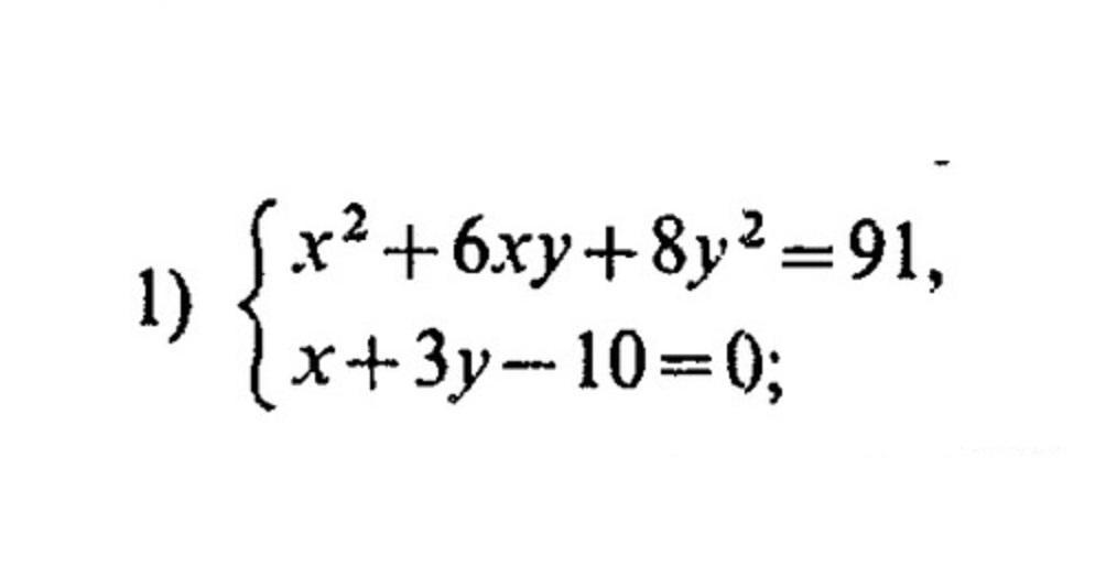
1

\left \{ {\bigg{x^{2} + 6xy + 8y^{2} = 91} \atop \bigg{x + 3y - 10 = 0 \ \ \ \ \ }} \right.

\left \{ {\bigg{x^{2} + 4xy + 2xy + 8y^{2} = 91} \atop \bigg{x + 3y - 10 = 0 \ \ \ \ \ \ \ \ \ \ \ \ \ }} \right.

\left \{ {\bigg{x(x+4y) + 2y(x+4y) = 91} \atop \bigg{x + 3y - 10 = 0 \ \ \ \ \ \ \ \ \ \ \ \ \ \ \ \ }} \right.

\left \{ {\bigg{ \ (x + 4y)(x + 2y) = 91} \atop \bigg{x + 3y - 10 = 0 \ \ \ \ \ \ \ }} \right.

Рассмотрим второе уравнение:

1) \ x + 3y - 10 = 0\\x + 4y - y - 10 = 0;\\x + 4y = y + 10

2) \ x + 3y - 10 = 0\\x + 2y + y - 10 = 0\\x + 2y = 10 - y

Подставим полученные значения x + 4y и x + 2y в первое уравнение и найдем y:

(y + 10)(10 - y) = 91\\10^{2} - y^{2} = 91\\y^{2} = 9\\y = \pm 3

Найдем x, зная y, используя второе уравнение:

Если y = 3, то x = 10 - 3y = 10 - 3 \cdot 3 = 1

Если y = -3, то x = 10 - 3y = 10 - 3 \cdot (-3) = 19

Ответ: (1; 3), \ (19; -3)

Вас заинтересует