• Предмет: Алгебра
  • Автор: ttttttttt48
  • Вопрос задан 2 года назад

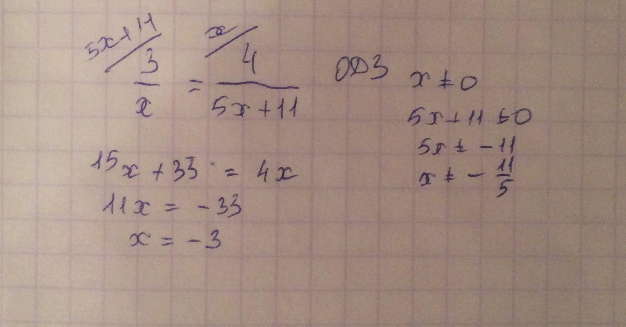
срочно, помогите!
ответ должен получиться "-3"
с решением!
спасибо)​

Приложения:

Ответы

Ответ дал: tatnik12
0

Ответ: -3

Объяснение: можно подставить предложенные варианты в оба уравнения.

А я предлагаю приравнять оба уравнения и решив получившееся уравнение найти чему равен х

Приложения:
Вас заинтересует