• Предмет: Алгебра
  • Автор: HKlit
  • Вопрос задан 2 года назад

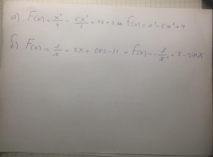
Докажите , что функция F(x) является первообразной для функции f(x) , если:

Приложения:

Ответы

Ответ дал: solving05
1

Ответ:

Объяснение:

a)

F'(x)=(\frac{x^4}{4}-\frac{5x^3}{3}+4x+3)'=\frac{4x^3}{4}-\frac{15x^2}{3}+4=\\=x^3-5x^2+4=f(x)

б)

F'(x)=(\frac{1}{x}+3x+cosx-11)'=-\frac{1}{x^2}+3-sinx=f(x)

Вас заинтересует