• Предмет: Математика
  • Автор: StarGirl28
  • Вопрос задан 2 года назад

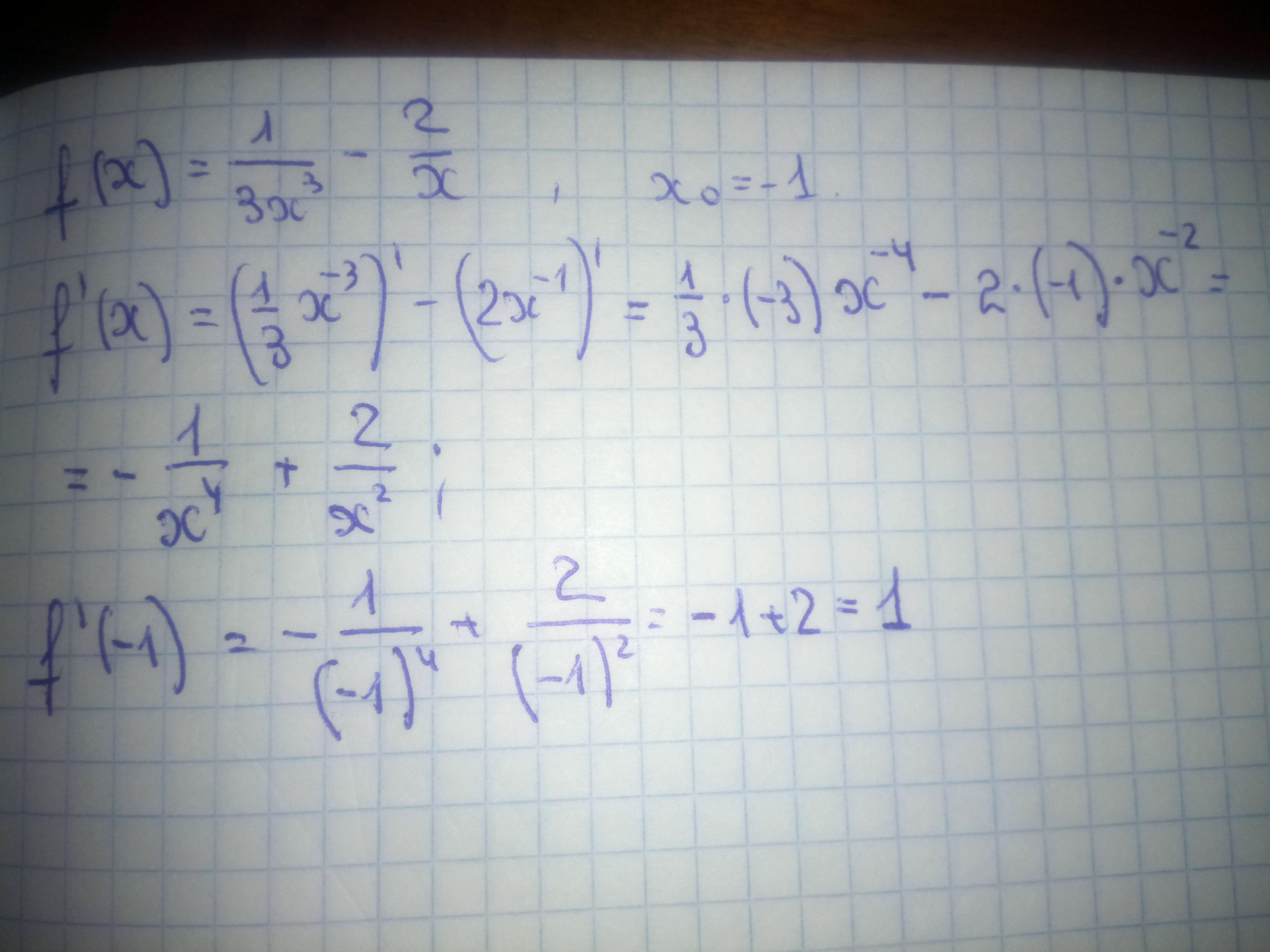
Найдите значение производной функции f (x) =1/3x³ – 2/x в точке
x = –1

Ответы

Ответ дал: Аноним
1

Решение задания приложено

Приложения:
Вас заинтересует