• Предмет: Алгебра
  • Автор: pedrovanya111
  • Вопрос задан 2 года назад

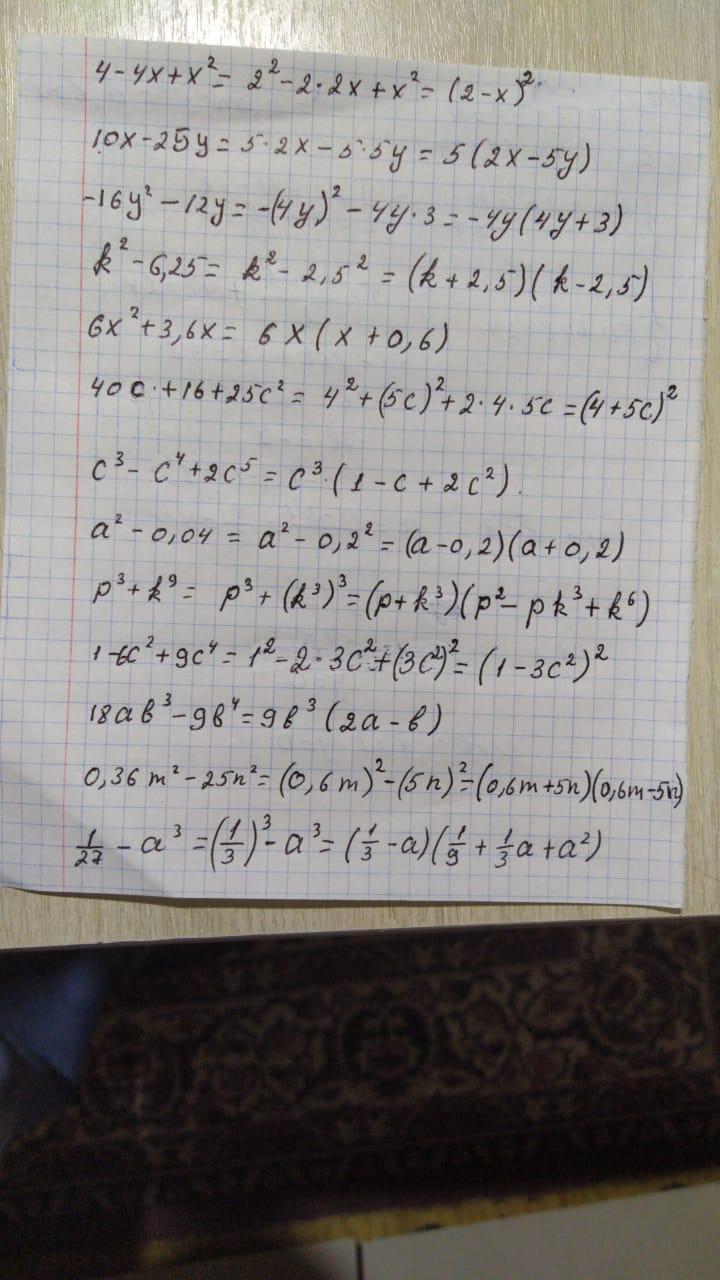
Решить с помощью формулы сокращенного умножения

Приложения:

Аноним: ‍♀️‍♀️‍♀️‍♀️‍♀️‍♀️‍♀️‍♀️‍♀️‍♀️‍♀️‍♀️‍♀️‍♀️‍♀️‍♀️‍♀️‍♀️‍♀️‍♀️‍♀️

Ответы

Ответ дал: terikovramazan
0

Ответ: приложено

Объяснение:

Приложения:
Вас заинтересует