• Предмет: Алгебра
  • Автор: clever321
  • Вопрос задан 2 года назад

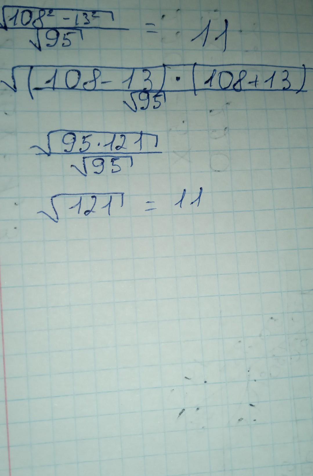
Найдите значение выражения. Не просто ответ, а с решением, пожалуйста

Приложения:

Ответы

Ответ дал: yuliahybina
0

Объяснение:

.... .............................

Приложения:

clever321: Спасибо)
Ответ дал: DayCat04
0

Ответ:

Ответ 11...............

Приложения:

clever321: Спасибо)
DayCat04: да пожалуйста)
Вас заинтересует