• Предмет: Алгебра
  • Автор: dmitrijb447
  • Вопрос задан 2 года назад

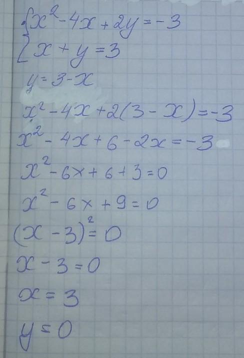
решить систему уравнения
x^2-4x+2y=-3;
x+y=3

Ответы

Ответ дал: evgenrubalko11
1

Всё решение на фотографии;)

Приложения:

dmitrijb447: Спасибо
evgenrubalko11: не за что)
Вас заинтересует