Помогите пожалуйста! Очень срочно, завтра уже будет поздно!
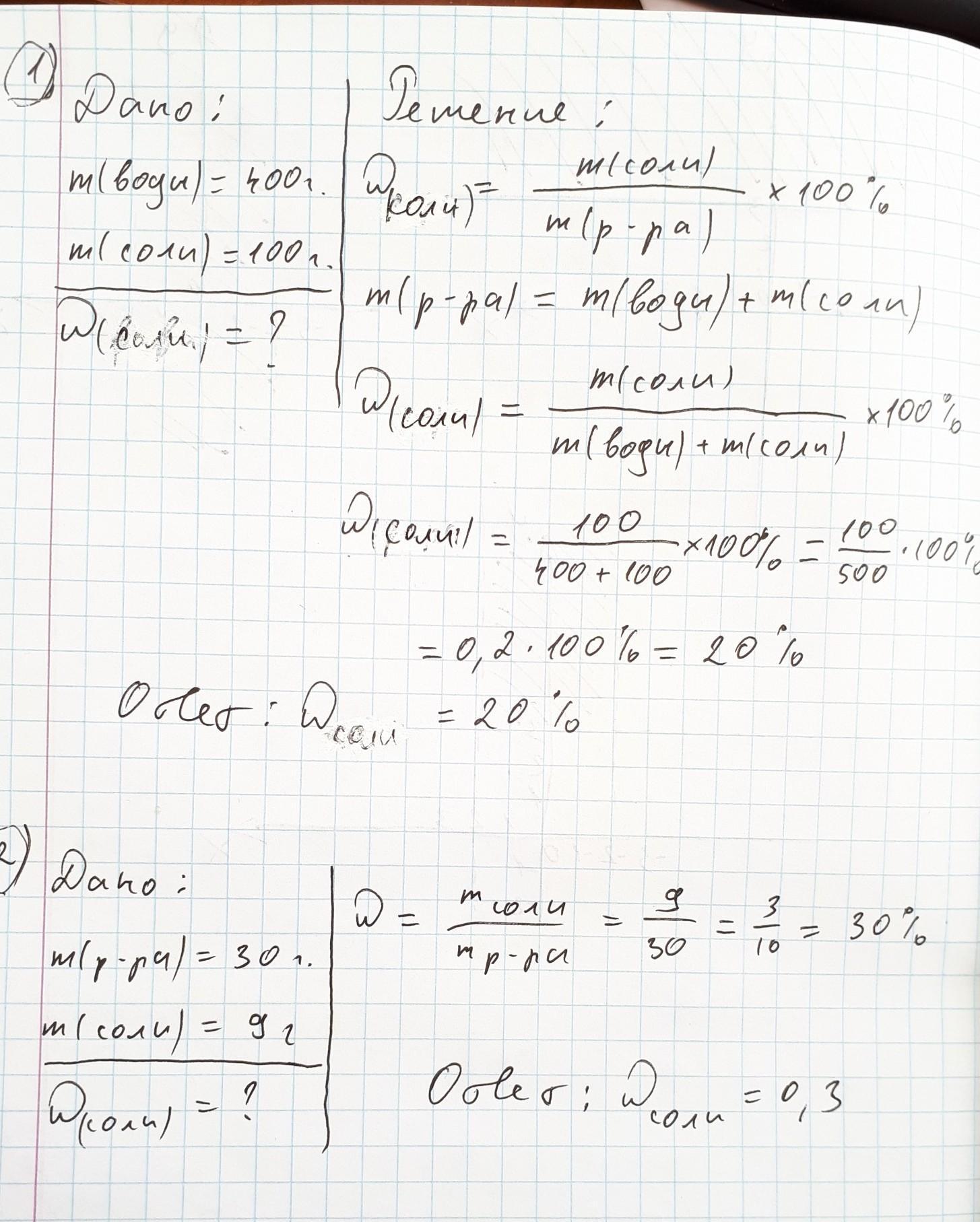
1. В 400 г воды растворили 100 г соли. Рассчитайте массовую долю вещества в растворе.
2. При выпаривании 30 г раствора получили 9 г соли. Рассчитайте массовую долю растворённого вещества.
3. Рассчитайте массы сахара и воды, которые нужно взять для приготовления 500 г раствора с массовой долей сахара 0,05.
Ответы
Ответ дал:
0
Во вложении:
__________________
Приложения:

Аноним:
А у тебя во 2-ом задании все правильно?
Ответ дал:
0
Ответ:
1) w(соли) = 0,2 или 20%
2) w(соли) = 0,3 или 30%
3) m(сах) = 25 г; m(воды) = 475 г
Объяснение:
См. во вложении
Приложения:


Вас заинтересует
1 год назад
1 год назад
1 год назад
1 год назад
3 года назад
3 года назад
8 лет назад