• Предмет: Математика
  • Автор: jacknicols
  • Вопрос задан 2 года назад

Высшая математика
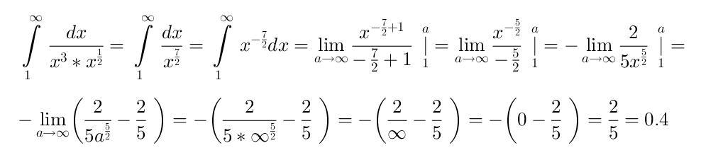
Исследовать на сходимость несобственный интеграл.
\int\limits^a_1   {\frac{dx}{x^{3} \sqrt{x} }} , где а = ∞

Ответы

Ответ дал: Аноним
1

Ответ:

интеграл сходится

Пошаговое объяснение:

.................................................

Приложения:

jacknicols: Исследовать на сходимость)
Аноним: если интеграл равен конечному числу, то он сходится
Вас заинтересует