• Предмет: Математика
  • Автор: Аноним
  • Вопрос задан 2 года назад

ПОМОГИТЕ РЕШИТЬ ПОЖАЛУЙСТА

Приложения:

Ответы

Ответ дал: NNNLLL54
0

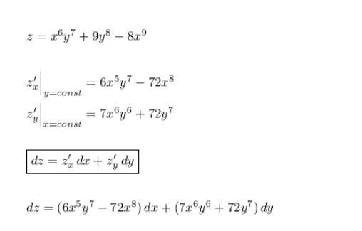
...........................................................................

Приложения:
Вас заинтересует