• Предмет: Математика
  • Автор: scr55320
  • Вопрос задан 2 года назад

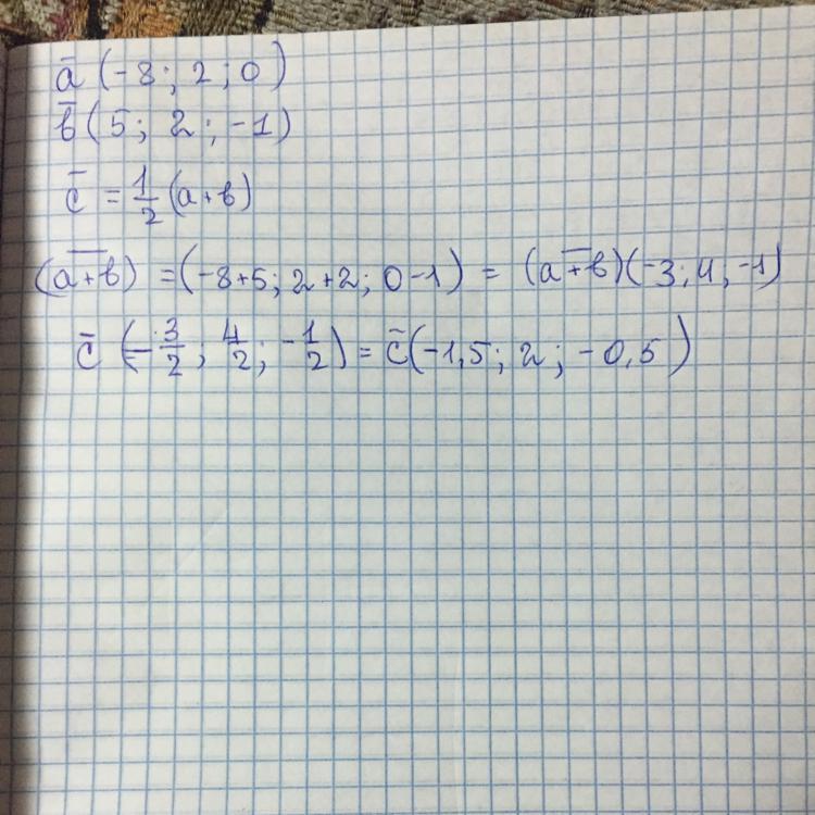
Даны вектора а[-8; 2; 0] b[5; 2; -1] Найти координаты с =1/2a+b

Ответы

Ответ дал: MathsIsMyLove
2
Решение на фотографии.
Приложения:
Вас заинтересует