• Предмет: Алгебра
  • Автор: novikovaluba
  • Вопрос задан 2 года назад

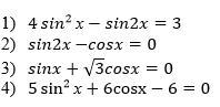
помогите решить пожалуйста Найдите корни уравнений

Приложения:

Ответы

Ответ дал: Miroslava227
1

Ответ: решение на фотографии

Объяснение:

Приложения:
Вас заинтересует