• Предмет: Математика
  • Автор: tec1toplittleе
  • Вопрос задан 2 года назад

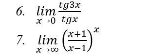
Решите, пожалуйста, эти 2 предела.
Решение как можно подробнее.

Приложения:

Ответы

Ответ дал: FlightsFlurry
0

Ответ:

Пошаговое объяснение:

Ответ дал: Аноним
0

Ответ: во вложении Пошаговое объяснение:

Приложения:
Вас заинтересует