• Предмет: Алгебра
  • Автор: skuryatvladik
  • Вопрос задан 2 года назад

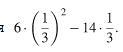
как называются эти дроби?

Приложения:

Ответы

Ответ дал: valovamarisha
0

Ответ:

обыкновенная дробь

Объяснение:

например 1,35 это десятичная дробь

Ответ дал: genius232
0

Объяснение:

Это смешанные дроби, так же их можно представить в виде неправильных дробей, чтобы решать задачи:

6*(⅓)²=6 1/9 = 55/9

Вас заинтересует