• Предмет: Математика
  • Автор: Anastasiya212121
  • Вопрос задан 2 года назад

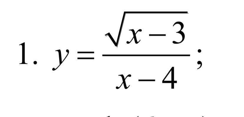
Найти область определения функции

Приложения:

Ответы

Ответ дал: alika5184
0
..........
............
Приложения:

Anastasiya212121: Как решил ?
Вас заинтересует