• Предмет: Алгебра
  • Автор: slavayavorkij222
  • Вопрос задан 8 лет назад

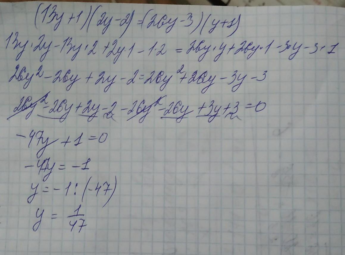
Реши уравнение: (13y+1)⋅(2y−2)=(26y−3)(y+1) .


Ответ.в дробях

Ответы

Ответ дал: evgeniya1309
0

Ответ:

1/47

Объяснение:

решение на фото прилагаю

Приложения:
Ответ дал: red310780
0

Ответ:

y =  frac{1}{47}

Объяснение:

1) Перемножить выражения в скобках:

26 {y}^{2}  - 26y + 2y - 2 = 26 {y}^{2}  + 26y - 3y - 3

2) Убрать равные слагаемые:

 - 26y + 2y - 2 = 26y - 3y - 3

3) Привести подобные члены:

 - 24y - 2 = 23y - 3

4) Перенести слагаемое в другую часть уравнения:

 - 24y - 23y =  - 3 + 2

5) Привести подобные члены. Вычислить:

 - 47y =  - 1

6) Разделить обе части уравнения на -47:

y =   frac{1}{47}

Приложения:
Вас заинтересует