Ответы
Ответ дал:
0
Решение:
|z1|=0 argz1=0
|z2|=3 argz2=П
|z3|=2 argz3=0
|z4|=1 argz4=п/2
|z5|=sqrt(3) argz5=3п/2
|z6|=4 argz6=П/2
|z7|=sqrt(4+9)=sqrt(13) argz7=arctg3/2
|z8|=sqrt(16+1)=sqrt(17) argz8=П-arctg(1/4)
|z9|=sqrt(9+9)=3sqrt(2) argz9=П-arctg1=П-П/4=3П/4
|z10|=sqrt(2+1)=sqrt(3) argz10=2П-arctg(sqrt(2)/2).
Смотри вложение:....
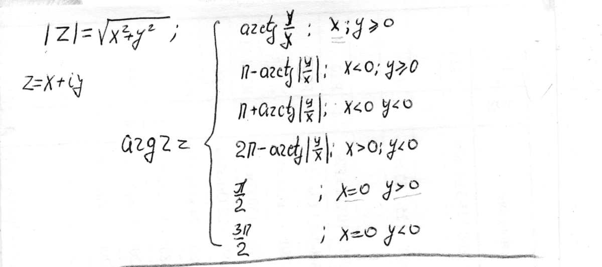
|z1|=0 argz1=0
|z2|=3 argz2=П
|z3|=2 argz3=0
|z4|=1 argz4=п/2
|z5|=sqrt(3) argz5=3п/2
|z6|=4 argz6=П/2
|z7|=sqrt(4+9)=sqrt(13) argz7=arctg3/2
|z8|=sqrt(16+1)=sqrt(17) argz8=П-arctg(1/4)
|z9|=sqrt(9+9)=3sqrt(2) argz9=П-arctg1=П-П/4=3П/4
|z10|=sqrt(2+1)=sqrt(3) argz10=2П-arctg(sqrt(2)/2).
Смотри вложение:....
Приложения:

Вас заинтересует
2 года назад
2 года назад
8 лет назад
8 лет назад
10 лет назад
10 лет назад
10 лет назад