• Предмет: Математика
  • Автор: pulser645p7tx4v
  • Вопрос задан 8 лет назад

помогите пожалуйста..​

Приложения:

Ответы

Ответ дал: Miroslava227
0

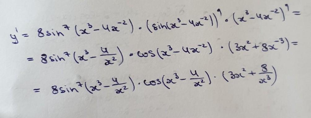
Ответ:

решение на фотографии

Приложения:
Вас заинтересует