• Предмет: Алгебра
  • Автор: polaantonovic335
  • Вопрос задан 8 лет назад

ПОМОГИТЕ!!! ПОЖАЛУЙСТА!!!!
ДАМ 25 БАЛЛОВ!!!

Приложения:

Ответы

Ответ дал: moony1810
0

×6 значит, что каждую часть уравнения нужно умножить на 6, чтобы избавиться от знаменателей

Приложения:
Ответ дал: mariiazol
0

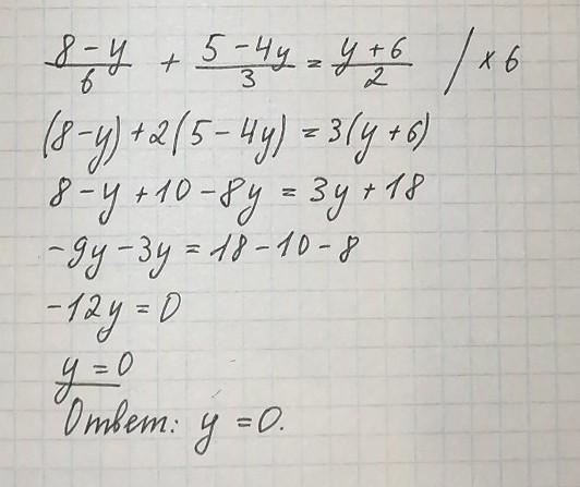
Ответ:

 frac{8 - y}{6}  +  frac{5 - 4y}{3}  =  frac{y + 6}{2}

Домножаем все части на 6, чтобы избавиться от знаменателей.

(8 - y) + 2 times (5 - 4y) = 3 times (y + 6)

Далее выполняем умножение, чтобы раскрыть скобки.

8 - y + 10 - 8y = 3y + 18

Теперь переносим все, что с "у" в левую часть, а все числа - в правую. Не забываем менять знак на противоположный при переносе.

 - y - 8y - 3y = 18 - 8 - 10

Приведём подобные слагаемые

 - 12y = 0

Соответственно,

y = 0

Приложения:
Вас заинтересует