Ответы
Ответ дал:
0
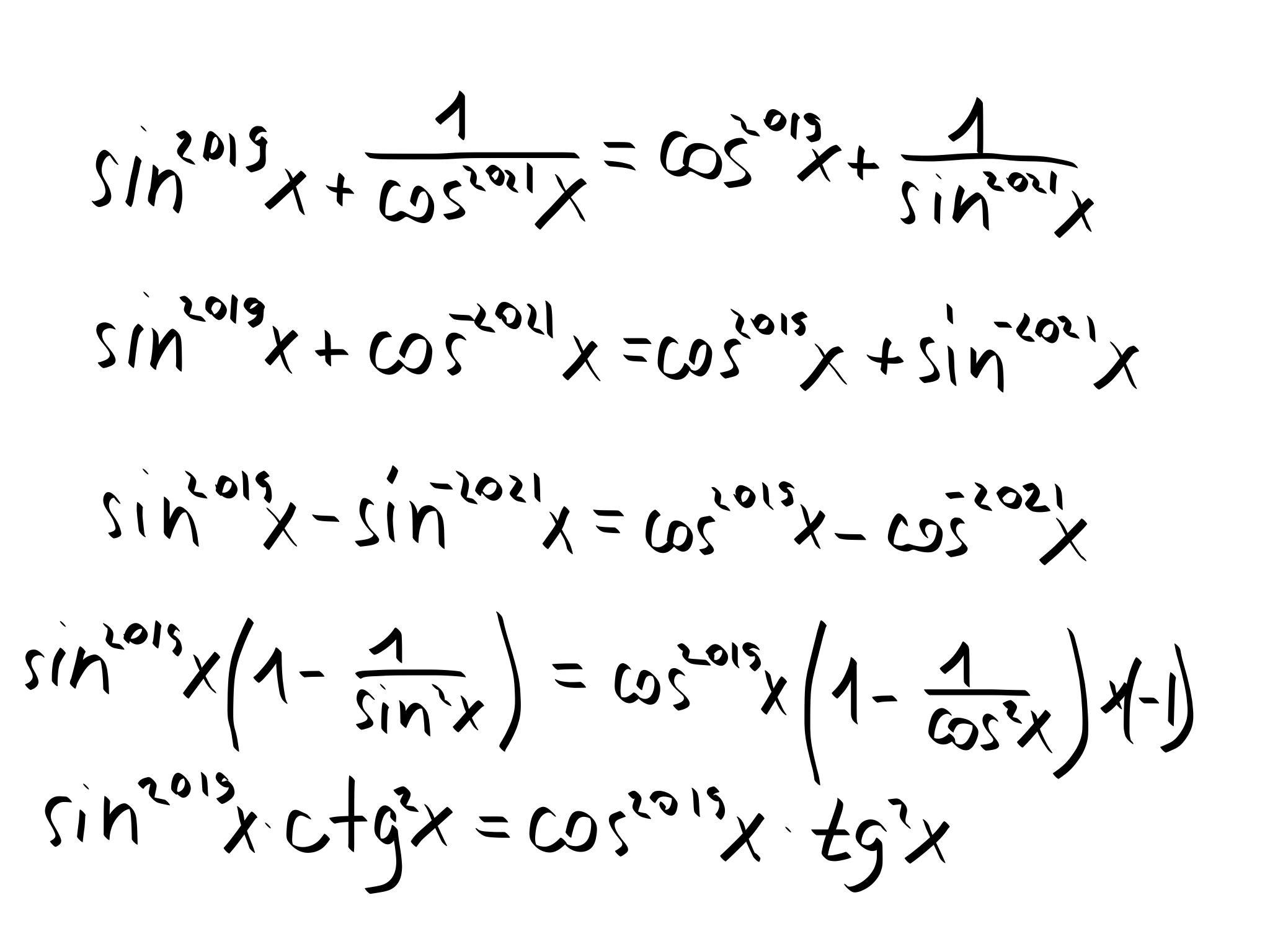
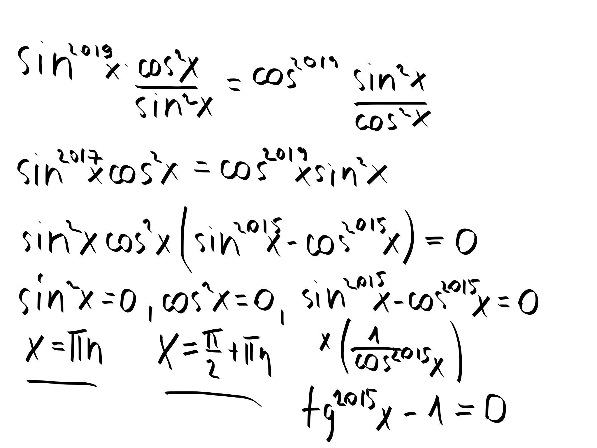
Ответ: смотри вложения)
Объяснение:
Приложения:



Вас заинтересует
2 года назад
2 года назад
3 года назад
3 года назад
9 лет назад