• Предмет: Математика
  • Автор: valerastepanova00
  • Вопрос задан 8 лет назад

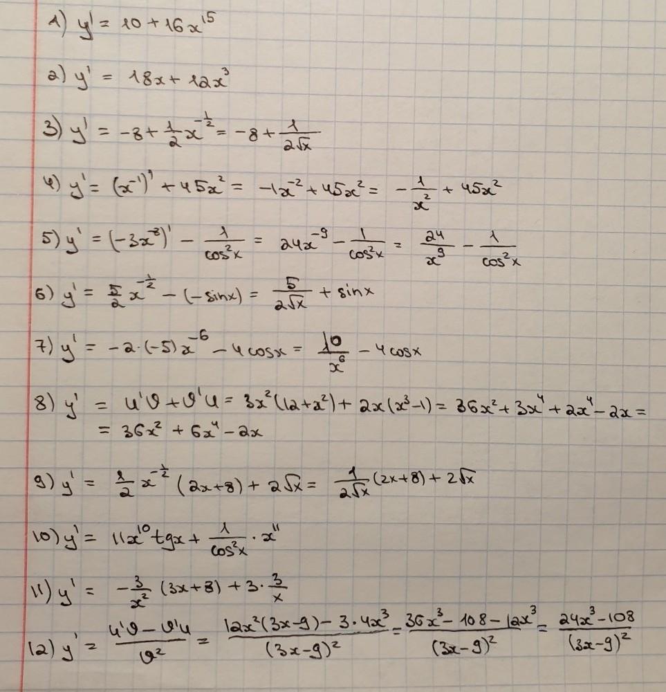
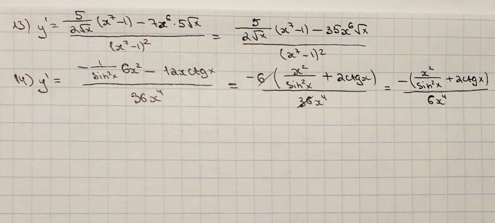
даю 100 баллов!Срочно!Алгебра ,10 класс,вычисление производной!​

Приложения:

Ответы

Ответ дал: Miroslava227
0

Ответ:

решение на фотографиях

Приложения:
Вас заинтересует