• Предмет: Математика
  • Автор: ЛинаКР
  • Вопрос задан 8 лет назад

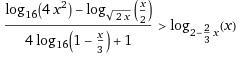
Помогите, пожалуйста, решить неравенство ((log(16,4x^2)-log(sqrt(2*x),x/2))/(4log(16,1-x/3)+1)>log(2-2/3*x,x))

Приложения:

Ответы

Ответ дал: ChiStS
0

Поехали:

Как обычно, начинаем с ОДЗ:

х > 0

х ≠ 0,5

х < 3

х ≠ 3/2

Таким образом наша ОДЗ:

(0;0,5) ∪(1/2; 3/2) ∪ (0,5;3)

Идем к уравнению. Приводим все к основанию 2:

frac{frac{log(2)[4x^{2}] }{log(2)[16]}-frac{log(2)[frac{x}{2} }{log(2)[(2x)^{frac{1}{2} }]  }  }{frac{4log(2)[1-frac{x}{3}] }{log(2)[16]}+1 }&gt;frac{log(2)[x]}{log(2)[2-frac{2}{3}x] }

Переносим всё в одну сторону, ищем общий знаменатель, производим действия типа log(2)[16] = 4:

frac{frac{1+log(2)[x]}{2}-frac{2(log(2)[x-1])}{log(2)[x]+1}-log(2)[x]  }{log(2)[1-frac{x}{3}]+1 }&gt;0

frac{1-log(2)[x]}{log(2)[1-frac{x}{3}]+1 }(frac{1}{2}+frac{2}{log(2)[x]+1}) &gt;0

frac{(1-log(2)[x])(log(2)[x]+5)}{(log(2)[x]+1)(log(2)[1-frac{x}{3}] +1)} &gt; 0

frac{(log(2)[x]-1)(log(2)[x]+5)}{(log(2)[x]+1)(log(2)[1-frac{x}{3}] +1)} &lt; 0

Методом интервалов:

        -                      +                  -                +                 -

___________₀________₀________₀________₀_________

                     1/32             1/2             3/2               2

///////////////////                       ///////////////                     ////////////////////

( - ∞ 1/32) ∪ (1/2; 3/2) ∪ (2; + ∞)

Подводим к нашему ОДЗ:

         /////////////////////////////////////////////////////////////////////////////                                                                        

____₀_______₀________₀________₀________₀______₀__________

       0              1/32             1/2             3/2               2             3

///////////////////                       ///////////////                     ////////////////////

Таким образом получаем:

х ∈ (0; 1/32) ∪ (1/2 ; 3/2) ∪ (2 ; 3)

Ответ: х ∈ (0; 1/32) ∪ (1/2 ; 3/2) ∪ (2 ; 3)

Ответ дал: ЛинаКР
0
Да, всё верно! Спасибо!
Вас заинтересует