• Предмет: Алгебра
  • Автор: zombiede98
  • Вопрос задан 8 лет назад

Помогите решить интегралы с объяснением.

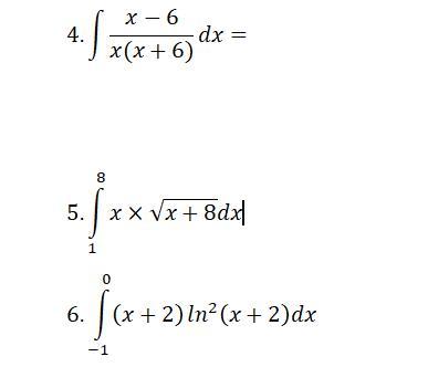
Приложения:

Ответы

Ответ дал: red310780
0

За интеграл я буду Июиспользовать вот этот знак:

 gamma

  • 4 пример:

1) Перепишите дробь:

 gamma  -  frac{1}{x}  +  frac{2}{x + 6} dx

2) Использовать свойства интегралов:

 -  gamma  frac{1}{x} dx +  gamma  frac{2}{x + 6} dx

3) Вычислить интегралы и прибавить константу интегрирования С:

 -  ln( |x| )  + 2 ln( |x + 6| )  + c

  • 5 пример:

1) Найти неопределённый интеграл:

 gamma x sqrt{x + 8} dx

2) Упростить интеграл, используя метод замены переменной:

 gamma t sqrt{t}  - 8 sqrt{t} dt

3) Преобразовать выражения:

 gamma  t times  {t}^{ frac{1}{2} }  - 8 {t}^{ frac{1}{2} } dt

4) Вычислить произведение:

 gamma   {t}^{ frac{3}{2} }  - 8 {t}^{ frac{1}{2} } dt

5) Использовать свойство интегралов:

 gamma  {t}^{ frac{3}{2} } dt -  gamma 8 {t}^{ frac{1}{2} } dt

6) Вычислить интегралы:

 frac{2 {t}^{2}  sqrt{t} }{5}  -  frac{16t sqrt{t} }{3}

7) Выполнить обратную замену:

 frac{2 {(x + 8)}^{2}  times  sqrt{x + 8} }{5}  -  frac{16(x + 8) sqrt{x + 8} }{3}

8) Упростить выражение:

 frac{2 sqrt{x + 8} times ( {x}^{2} + 16x + 64)  }{5}  -  frac{16(x + 8) sqrt{x + 8} }{3}

9) Вернуть пределы интегрирования и подставить в пример (8):

 frac{2 sqrt{8 + 8} times ( {8}^{2}  + 16 times 8 + 64) }{5}  -  frac{16(8 + 8) sqrt{8 + 8} }{3}  - ( frac{2 sqrt{1 + 8} times ( {1}^{2}  + 16 times   1  + 64)}{5}  -  frac{16(1 + 8) sqrt{1 + 8} }{3} ) =  frac{1726}{15}

  • 6 пример

Вас заинтересует