• Предмет: Математика
  • Автор: olyunchik1207
  • Вопрос задан 8 лет назад

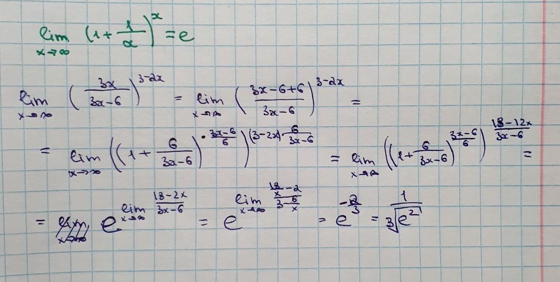
Помогите решить "Второй замечательный придел"

Приложения:

Ответы

Ответ дал: Miroslava227
0

Ответ:

решение на фотографии

Приложения:
Вас заинтересует