• Предмет: Математика
  • Автор: atakisizadeemel
  • Вопрос задан 8 лет назад

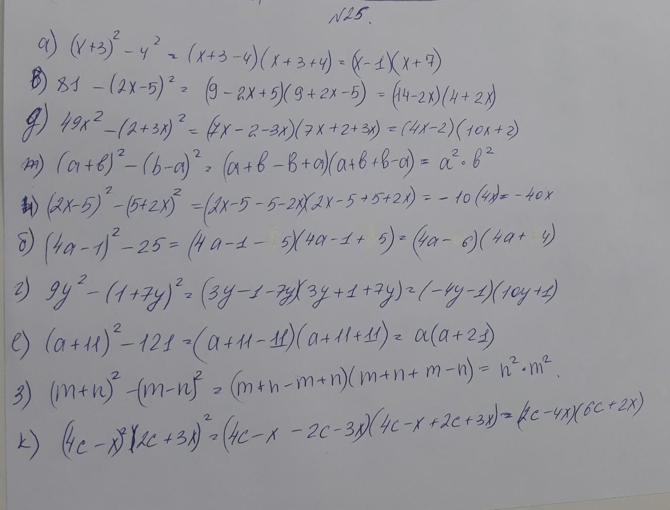
ребята помогите сделать номер 25​

Приложения:

Ответы

Ответ дал: Elissefox
0

Ответ:

Все решение во вложении:)

Приложения:
Вас заинтересует