• Предмет: Алгебра
  • Автор: zaikins070568
  • Вопрос задан 8 лет назад

Решите графически уравнение: х^2+3х+2=0.

Ответы

Ответ дал: santyf
0

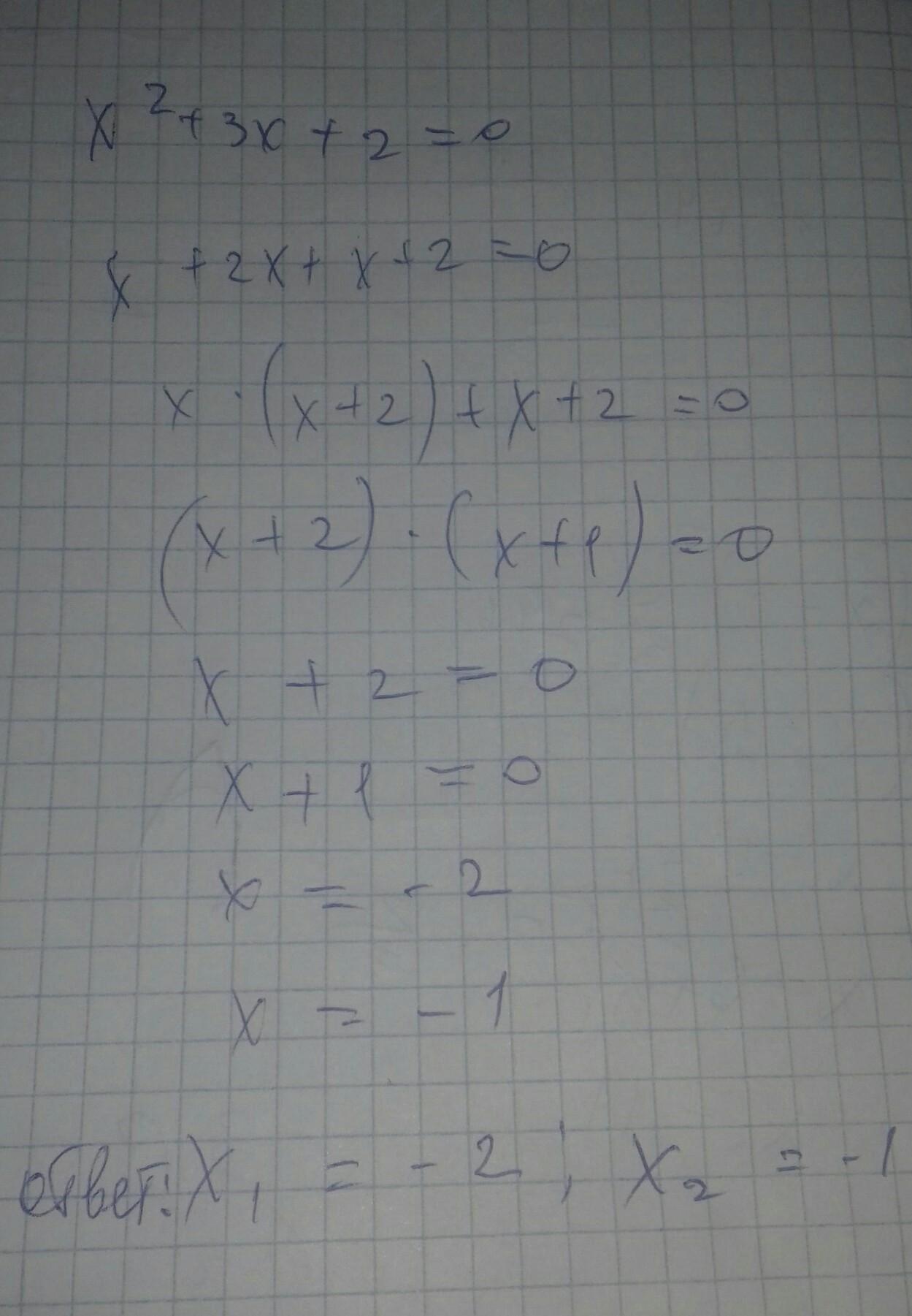
Ответ:

x ^{2}  + 3 x + 2 = 0

эт дискриминант

но можно и разложить )

Приложения:
Ответ дал: santyf
0
чув я не очень черчу графики но попытаюсь помочь
Вас заинтересует