• Предмет: Алгебра
  • Автор: romashevchenko007
  • Вопрос задан 8 лет назад

Помогите плиз, даю 18 баллов.

Приложения:

Ответы

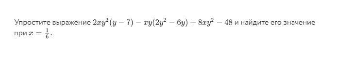
Ответ дал: bel72777
0

Ответ:

-48

Объяснение:

2xy^2 •(y-7)-xy(2y^2 -6y)+8xy^2 -48=2xy^2 •(y-7)-2xy^2 •(y-3)+8xy^2 -48=2xy^2 •(y-7-y+3)+8xy^2 -48=2xy^2 •(-4)+8xy^2 -48=-8xy^2 +8xy^2 -48=-48

Ответ дал: parus77
0

Ответ:

-48

Объяснение:

раскроем скобки и упростим выражение,получим выражение,которое не зависит от Х.Это намного проще,чем сначала подставить значение Х и потом уже упрощать.

Приложения:
Вас заинтересует