• Предмет: Математика
  • Автор: savakust
  • Вопрос задан 8 лет назад

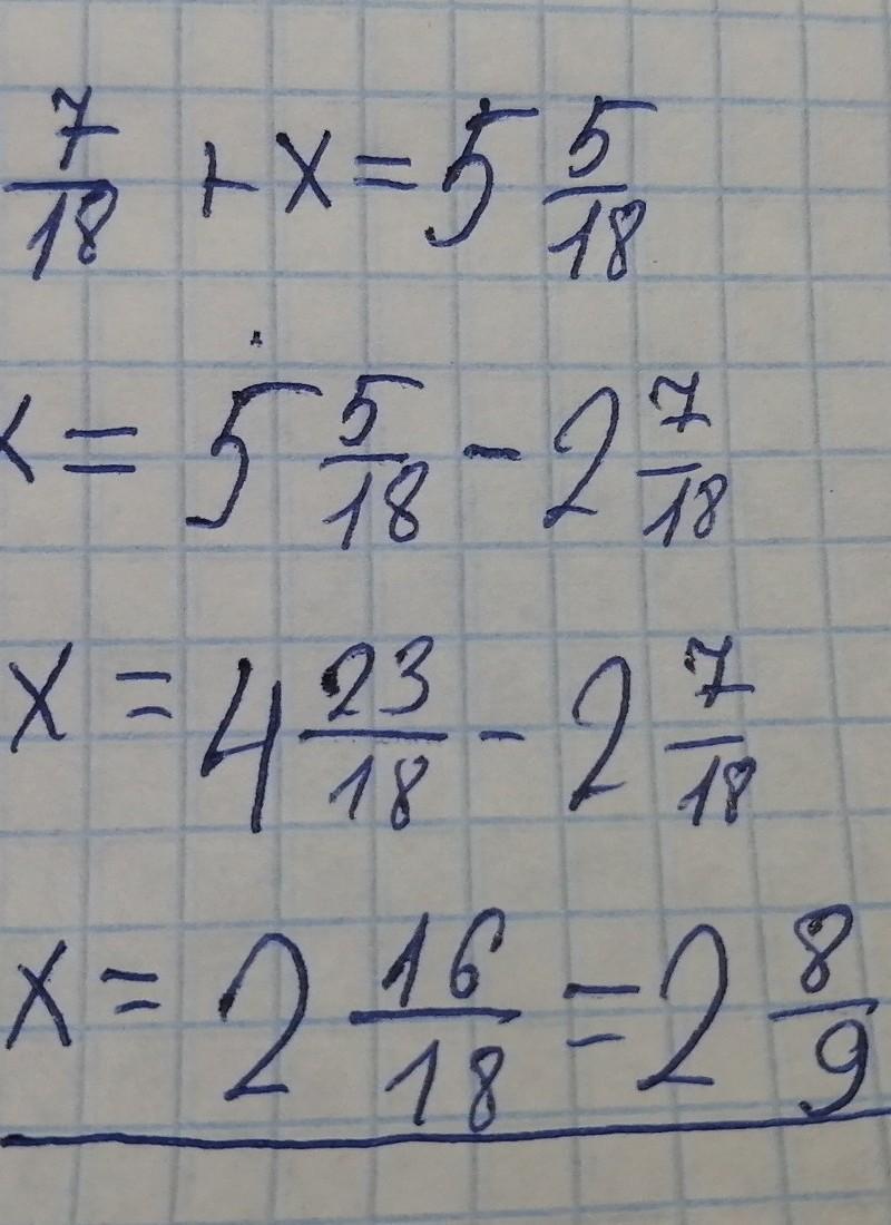
в) х - 2 4/11 = 4 1/11 ; г) 2 7/18 + х 5 5/18 ;

Ответы

Ответ дал: ddorazoloto
0

Пошаговое объяснение:

Всё решение на фотографиях

Приложения:
Ответ дал: artemevaan
0

Решение во вложение.  

Приложения:
Вас заинтересует