Ответы
Ответ дал:
0
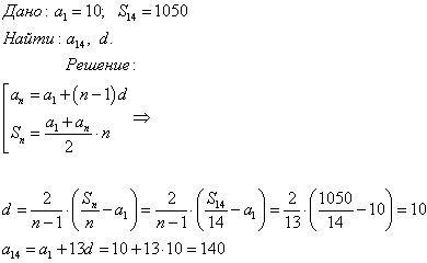
Может быть это подойдёт
Приложения:

Ответ дал:
0
Только a14 искать не обязательно. В данном случае это лишнее действие
Ответ дал:
0
Согласен полностью
Ответ дал:
0
Воспользуемся формулой суммы n членов арифметической прогрессии:
Ответ: 10.
Приложения:

Вас заинтересует
2 года назад
3 года назад
3 года назад
8 лет назад
8 лет назад