• Предмет: Математика
  • Автор: Retuo
  • Вопрос задан 8 лет назад

Помогите решить.
Продифференцировать функции.

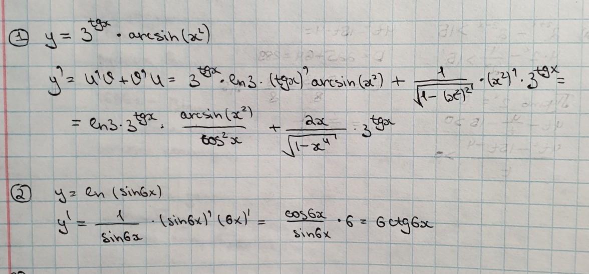
1. y=3^tgx arcsin(x^2)

2. y=ln sin6x

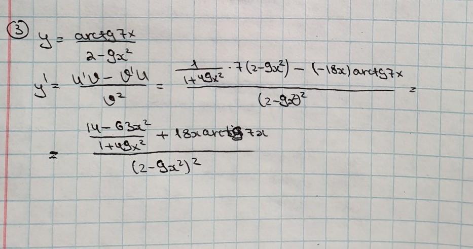
3. (arctg7x)/(2-9x^2)

Ответы

Ответ дал: Miroslava227
0

Ответ:

решение на фотографиях

Приложения:
Вас заинтересует