• Предмет: Математика
  • Автор: oliviaprincess
  • Вопрос задан 8 лет назад

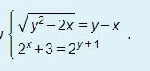
Полное решение, срочно

Приложения:

Ответы

Ответ дал: SmartCin4376
0

Ответ:

(0;1) (1+2log2(3);log2(6))

Пошаговое объяснение:

Возведем в квадрат первое уравнение

y^2-2x = y^2 - 2xy+x^2

x^2 = 2x*(y-1)

x(x-2y+2) = 0

x = 0

x-2y +2=0

x+2=2y

1)x = 0

2^x+3 = 2^y+1

y = 1

2)x = 2y-2

2^2y-2 + 3 =2^y+1

frac{2^{2y} }{4} + 3 = 2^y*2

Дальше делаем замену 2^y = t

Решаем квадратное уравнение и получаем,что t=2;6 => y = 1;log2(6)

x = 0;2log2(6)-1 = 1+2log2(3)

Вас заинтересует