• Предмет: Алгебра
  • Автор: pepapoldanooby
  • Вопрос задан 8 лет назад

Упростите выражения, даю 35 баллов

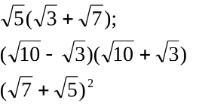
Приложения:

Ответы

Ответ дал: SmartCin4376
0

Объяснение:

1) sqrt{15} + sqrt{35}

2)10 - 3 = 7(формула разность квадратов)

3)7+2sqrt{35} + 5 = 12+2sqrt{35}

Ответ дал: Аноним
0

1. √5(√3+√7)=√15+√35

2. (√10-√3)(√10+√3)=10-3=7

3. (√7+√5)²=7+2√35+5=12+2√35

Вас заинтересует