• Предмет: Математика
  • Автор: artemyzaytsev
  • Вопрос задан 8 лет назад

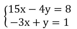
Решите систему уравнений методом подстановки

Приложения:

Ответы

Ответ дал: binamaksimchuk
0

Ответ:

(4;13)

Пошаговое объяснение:

15х-4у=8

у=1+3х

15х-4(1+3х)=8

15х-4-12х=8

3х=8+4

3х=12

х=12:3

х=4

у=1+3х=1+3*4=13

Вас заинтересует