• Предмет: Математика
  • Автор: МоРе99
  • Вопрос задан 8 лет назад

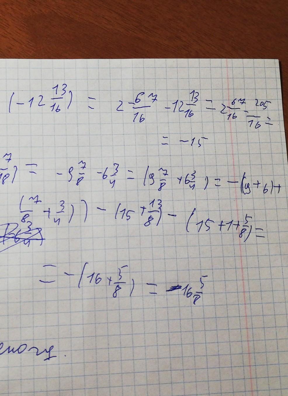
Помогите пж, нужно выполнить сложение. Под буквами г,д,е.

Приложения:

Ответы

Ответ дал: yaroslavmudryy0101
0

-4 3/16-12 13/16=-17

-4/9-7/18=-8/18-7/18=-15/18

-9 7/8-6 3/4=-79/8-27/4=-79/8-54/8=-133/8=-16,625

Ответ дал: yaroslavmudryy0101
0
там нужно приводить к общ. знаменателю и просто сложить их
Ответ дал: yaroslavmudryy0101
0
если не составит труда отметь лучшим
Ответ дал: jokmfghvg
0

Пошаговое объяснение:

Д не могу удачи спесати и да пользуйся пхото мас. Скочай очкнь удобно

Приложения:
Ответ дал: МоРе99
0
Спасибо)
Ответ дал: jokmfghvg
0
пожалуйста
Вас заинтересует