• Предмет: Физика
  • Автор: lyisa
  • Вопрос задан 8 лет назад

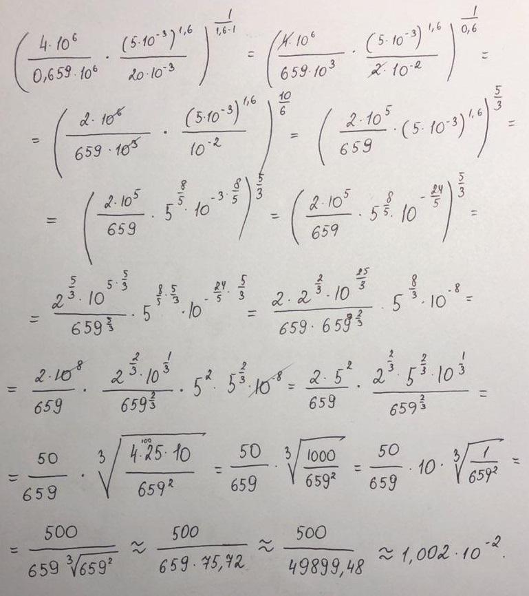
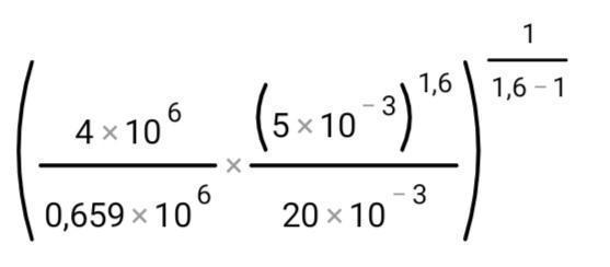
Даю 100 баллов! Срочно помогите решить пример по физике.Наподобие решение другого примера дано на втором фото

Приложения:

Ответы

Ответ дал: razor1998
0

К сожалению, второе фото совсем не видно, сделал как смог.

Приложения:
Вас заинтересует