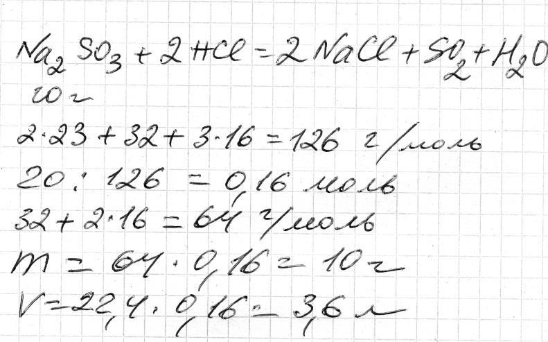
определите массу и объем сернистого газа, который образуется при взаимодействии 20 грамм сульфита натрия с соляной кислот
Ответы
Ответ дал:
0
Ответ:
SO2 10г 3,6л
Объяснение:
Приложения:

Вас заинтересует
2 года назад
3 года назад
8 лет назад
8 лет назад