• Предмет: Алгебра
  • Автор: shabsburger777
  • Вопрос задан 8 лет назад

(x-5)^4-3(x-5)^2-4=0

Ответы

Ответ дал: matematikL
0

Ответ:

Объяснение:

вот и все

Приложения:
Ответ дал: zinaidazina
0

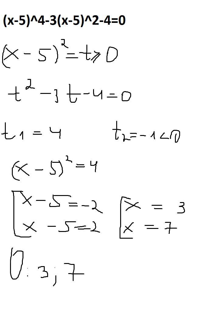
(x-5)^4-3(x-5)^2-4=0

1) Это уравнение легко привести к квадратному уравнению.

Для этого выполним замену:

   (x-5)^2=y        =>   (x-5)^4=y^2

и получим квадратное уравнение с ОДЗ:  ygeq 0

   y^2-3y-4=0

2) Решим по теореме Виета:

  y_1=-1<0  не удовлетворяет ОДЗ.  

  y_2=4

3) Выполним обратную замену:

  (x-5)^2=4

 4) Получили два уравнения:

   x-5=-2      и  

   x-5=2

5) Решим их и получим:

 x_1=3

 x_2=7

Ответ:  {3;  7}

Приложения:
Ответ дал: shabsburger777
0
решите пожалуйста
Ответ дал: shabsburger777
0
https://znanija.com/task/34510835 вот это срочно
Вас заинтересует