Ответы
Ответ дал:
0
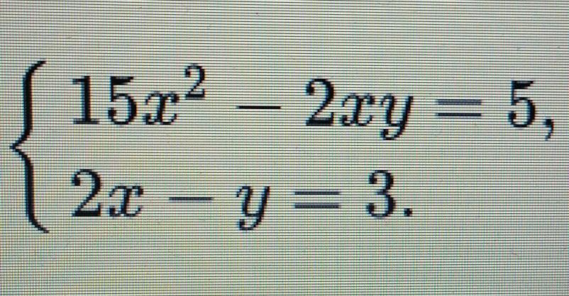
Способ подстановки. Выражаем из второго уравнения у и подставляем в первое:
О т в е т. (-1;-5);(5/11; -23/11)
Ответ дал:
0
Вот вреде так)))))))))
Приложения:

Вас заинтересует
2 года назад
2 года назад
3 года назад
3 года назад
8 лет назад
8 лет назад
9 лет назад