Ответы
Ответ дал:
0
ОТВЕТ ВО ВЛОЖЕНИИ....
Приложения:

Ответ дал:
0
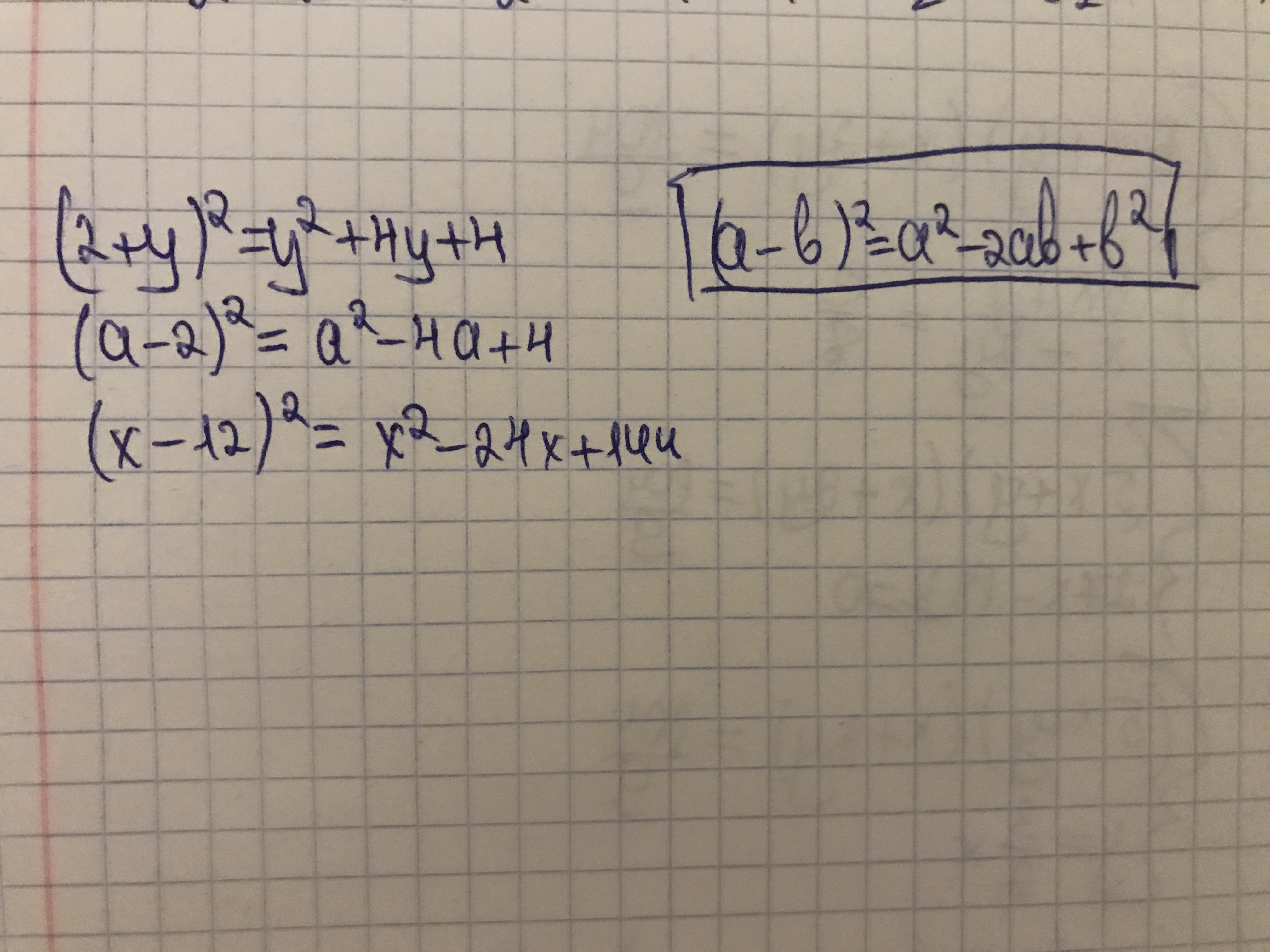
Ответ:
(2+у)^2=2^2+2*2*y+y^2=4+4y+y^2
(a-2)^2=a^2-2*a*2+2^2=a^2-4a+4
(x-12)^2=x^2-2*12*x+12^2=x^2-24x+144
Объяснение:
Приложения:

Вас заинтересует
2 года назад
3 года назад
8 лет назад
8 лет назад
9 лет назад
9 лет назад