• Предмет: Алгебра
  • Автор: anomer026
  • Вопрос задан 8 лет назад

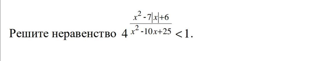
Помогите решить, пожалуйста

Приложения:

Ответы

Ответ дал: Toper0Poper
0

Ответ:

Во втором уравнении ответ 5, так как 0 умножить на любое число = 0

Вас заинтересует