• Предмет: Алгебра
  • Автор: dashasmile57
  • Вопрос задан 8 лет назад

Помогите решить пример с интегралами!!

Приложения:

Ответы

Ответ дал: NNNLLL54
0

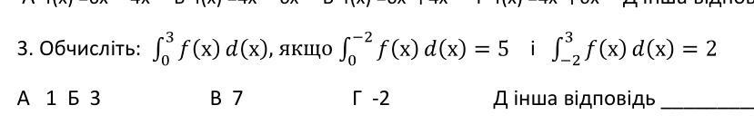
intlimits^{-2}_0, f(x), dx=5; ; ,; ; ; intlimits^3_{-2}, f(x), dx=2

Свойство аддитивности неопределённого интеграла:

intlimits^{3}_0, f(x), dx=intlimits^{-2}_0, f(x), dx+intlimits^{3}_{-2}, f(x), dx=5+2=7

Вас заинтересует