Ответы
Ответ дал:
0
Ответ:
вот так прямо и переписывай
Пошаговое объяснение:
Приложения:

Ответ дал:
0
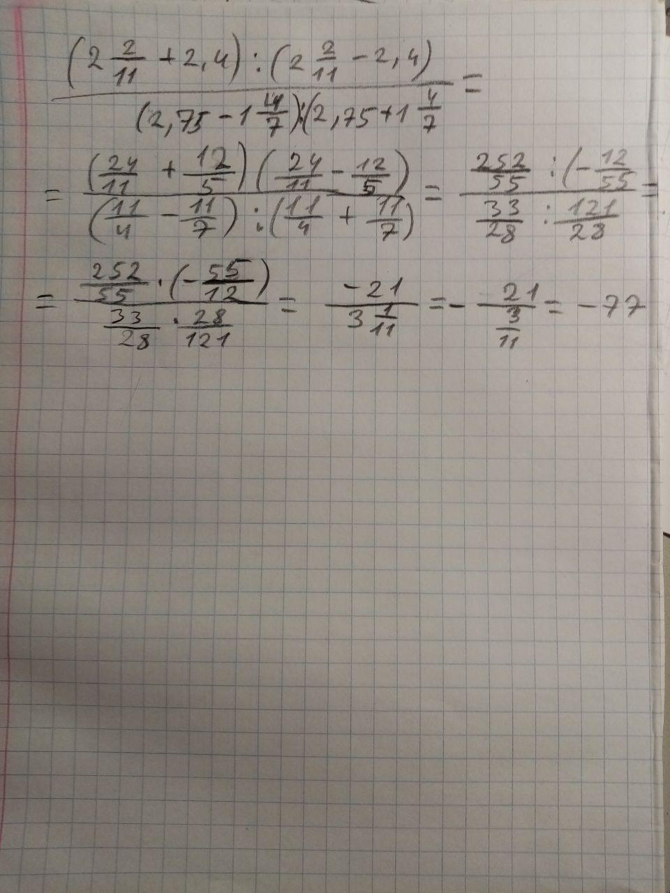
(2 2/11 + 2,4):(2 2/11 - 2,4) = ((2*11+2)/11 +24/10):((2*11+2)/11- 24/10)=(24/11+24/10):(24/11-24/10)=(24(11+10)/110):(24(10-11)/110)=21/(-1)=-21.
(2,75 - 1 4/7):(2,75 + 1 4/7)=(11/4 - (7+4)/7) : (11/4 + (7+4)/7)=(11/4 - 11/7): (11/4 + 11/7) = (11(7-4)/(7*4)): (11(7+4)/(4*7))=3/11.
-21/(3/11)=-21*11/3=-77.
Ответ: -77
Приложения:

Вас заинтересует
2 года назад
2 года назад
3 года назад
8 лет назад
8 лет назад
9 лет назад